Publication

Semiconductor Materials and Devices Lab

Paper

  • 2023
  • Neuromorphic computing based on halide perovskites
  • Nature Electronics, 6, 949–962 (2023)
  • Maria Vasilopoulou*, Abd Rashid bin Mohd Yusoff*, Yang Chai, Michael-Alexandros Kourtis, Toshinori Matsushima, Nicola Gasparini, Rose Du, Feng Gao, Mohammad Khaja Nazeeruddin, Thomas D Anthopoulos*, Yong-Young Noh*
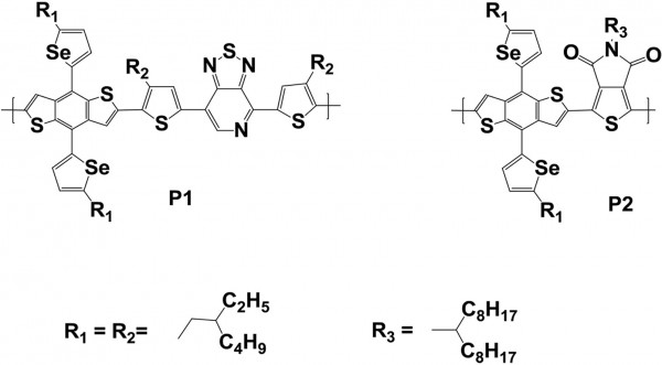
Selenophene based benzodithiophene polymers as potential candidates for optoelectronic applications
저자
Chinna Bathula*, Shubhangi Khadtare, Kezia Buruga , Abhijit Kadam , Nabeen K. Shrestha , Yong-Young Noh
저널명
Dyes and Pigments, 149, 639-643 (2018)
년도
2018

[Abstract]

This work reports on the synthesis and characterization of two novel conjugated polymers consisting of selenophene substituted benzo[1,2-b:4,5-b′]dithiophene (SeBDT) donor, and dithienothiadiazole[3,4-c]pyridine(DTPyT)-P1 or thieno[3,4]pyrroledione(TPD)-P2 acceptors. The synthesized polymers are characterized for the significant photophysical prerequisites essential for organic electronics such as strong and broad optical absorptionthermal stability, and compatible highest occupied molecular orbital (HOMO) and lowest unoccupied molecular orbital (LUMO) levels. The polymers are thermally stable up to 280–370 °C, and the optical band gaps for P1, P2 calculated from their film absorption edges are found to be 1.53 and 1.84 eV, respectively. In addition, the electrochemical studies of P1, P2 reveal the HOMO and LUMO energy levels of −5.02,-5.04 eV, and −3.49, −3.20 eV, respectively, suggesting these materials to be potential candidates for the applications in organic electronics.