Publication

Semiconductor Materials and Devices Lab

Paper

  • 2023
  • Neuromorphic computing based on halide perovskites
  • Nature Electronics, 6, 949–962 (2023)
  • Maria Vasilopoulou*, Abd Rashid bin Mohd Yusoff*, Yang Chai, Michael-Alexandros Kourtis, Toshinori Matsushima, Nicola Gasparini, Rose Du, Feng Gao, Mohammad Khaja Nazeeruddin, Thomas D Anthopoulos*, Yong-Young Noh*
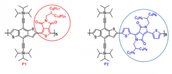
Acceptor Unit Effects for Ambipolar Organic Field-Effect Transistors Based on TIPS-Benzodithiophene Copolymers
저자
Henry Opoku, Chinna Bathula, Melaku Dereje Mamo, Nabeen K. Shrestha,Taegweon Lee, Yong-Young Noh*
저널명
Macromolecular Research, 27, 90-95 (2019)
년도
2019

[Abstract]

Two narrow band gap triisopropylsilyl substituted benzo[1,2-b:4,5-b] dithiophene (TIPS-BDT) derivatives, P1 (1.65 eV) and P2 (1.46 eV) are synthesized for ambipolar organic field-effect transistors and complementary inverters. Two electron acceptor units, heptadecanyl substituted thieno[3,4-c]pyrrole-4,6-dione (TPD) and ethylhexyl substituted diketopyrrolo[3,4-c]pyrrole (DPP) are incorporated to tune the structure and resulting properties of the donor-acceptor type copolymers. Structural modification based on the acceptor unit variation, resulted in comparable electrochemical, optical, microstructural, and charge transporting properties, as well as environmental and operational stability. TIPS-BDT copolymers with TPD acceptor units show comparatively superior performance, with field effect mobility ∼10-3 cm2V-1s-1 for both holes and electrons and inverter gain ∼18 with poly(methyl methacrylate) gate dielectric.